10. Sınıf Anka Matematik Sayfa 112-116 Cevapları
2. Ünite Ölçme ve Değerlendirme Soruları
1) ƒ = {(1,2), (2,3), (3,1), (4,3)} fonksiyonu veriliyor. ƒ nin görüntü kümesi aşağıdakilerden hangisidir?
A) {1, 3} B) {2, 3} C) {1, 2, 3, 4} D) {1,2,3} E) {1, 2,}
Cevap D
2) A = {1, 2, 3, 4, 5}, B = {6, 7, 8} olmak üzere aşağıdakilerden hangisi A dan B ye bir fonksiyondur?
A) {(1, 6), (2, 8)}
B) {(3, 7), (4, 8) (5,6)}
C) {(1, 6) (2, 6) (3,6) (4,6) (5, 8)}
D) {(1, 7) (2, 6) (3,7) (4,7) (3, 8)}
E) {(1, 6) (2, 6) (3,7) (4,8) (5, 8) (2, 7)}
Cevap C
1. olarak tanım kümesinde yani A'da boşta eleman olmayacak.
2. olarak tanım kümesi olan A kümesinden bir eleman yalnızca bir eleman ile eşleşebilir.
3) ƒ: R--> R, ƒ(x) = 4x + 5 olduğuna göre ƒ(5) + ƒ(0) işleminin sonucu aşağıdakilerden hangisidir?
A) 20 B) 25 C) 30 D) 35 E) 40
ƒ(x) = 4x + 5
ƒ(5) = 4 . 5 + 5
ƒ(5) = 20 + 5
ƒ(5) = 25
ƒ(0) = 4 . 0 + 5
ƒ(0) = 0 + 5
ƒ(0) = 5
25 + 5 = 30
Cevap C
4) ƒ: R-->R, ƒ(x) = (a - 2) x + b - 4 fonksiyonu birim fonksiyon olduğuna göre a + b nın değeri aşağıdakilerden hangisidir?
A) 7 B) 8 C) 10 D) 13 E) 17
Cevap A
ƒ(x) = (a - 2) x + b - 4
ƒ(x) birim fonksiyon
b - 4 = 0
b = 4
a - 2 = 1
a = 3
a + b = 3 + 4 = 7
5. ƒ: R-->R {2}, ƒ(x) = 3x + t / 4x - 8 fonksiyonu sabit fonksiyon ise t nin değeri aşağıdakilerden hangisidir?
A)–6 B)–5 C)–4 D)–3 E)–2
Cevap A
ƒ(x) = 3x + t / 4x - 8
Sabit fonksiyon ise
3 / 4 = t / -8
-8 . 3 = 4 . t
-24 = 4 . t
t = -6
6) ƒ: R--> R, ƒ(x + 5) = 7x - 2 olduğuna göre ƒ(8) aşağıdakilerden hangisidir?
A) 14 B) 17 C) 18 D) 19 E) 22
Cevap D
ƒ(x + 5) = 7x - 2
x + 5 = 8
x = 3
ƒ(3) = 7x - 2
ƒ(3) = 7 . 3 - 2
ƒ(3) = 21 - 2
ƒ(3) = 19
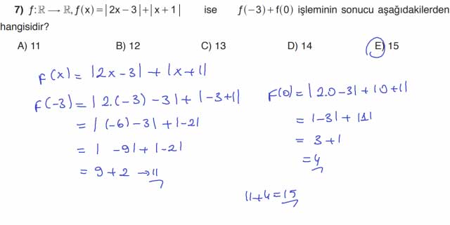
7) ƒ: R-->R, ƒ(x) = 2x - 3 + x + 1 ise ƒ(-3)+ f(0) işleminin sonucu aşağıdakilerden hangisidir?
A) 11 B) 12 C) 13 D) 14 E) 15

8) Yanda ƒ: R-->R, y = ƒ(x) fonksiyonunun grafiği verilmiştir. Buna göre kaçtır?
A) 2 B) –4 C) 3 D) 0 E) 4
Cevap B

9) A = {a, b, c, d} ve ƒ: A-->A olmak üzere aşağıdaki fonksiyonlardan hangisi bire bir fonksiyondur?
A) ƒ: {(a,b)(b,a)(c,a)(d,c)}
B) ƒ: {(a,a)(b,b)(c,c)(d,d)}
C) ƒ: {(a,d)(b,d)(c,d)(d,d)}
D) ƒ: {(a,a)(b,a)(c,d)(d,b)}
E) ƒ: {(a,d)(b,d)(c,a)(d,b)}
Cevap B
Tanım kümesinden her bir eleman değer kümesinden farkı eleman ile eşleşmelidir.
10) ƒ: R-->R, ƒ(x) = x3 fonksiyonunda ƒ(1) + ƒ(2) kaçtır?
A) –3 B) 0 C) 1 D) 3 E) 9
Cevap E
ƒ(1) = 1 . 1 . 1 = 1
ƒ(2) = 2 . 2 . 2 = 8
ƒ(1) + ƒ(2) = 1 + 8 = 9
11) ƒ: R-->R, ƒ(x) = x2nin grafiği aşağıdakilerden hangisinde doğru verilmiştir?
Cevap C

12) Aşağıdaki fonksiyon grafiklerinden hangisi bire bir fonksiyondur?
Cevap D

13) A = "x, y, z, t, ve ƒ: A-->A olmak üzere aşağıda verilen fonksiyonlardan hangisi örten fonksiyondur?
A) ƒ: {(x,x)(y,z)(z,x)(t,z)}
B) ƒ: {(x,y)(y,z)(z, t)(t,y)}
C) ƒ: {(x,y)(y,y)(z,y)(t,y)}
D) ƒ: {(x,x)(y,x)(z,z)(t,z)}
E) ƒ: {(x, t)(y,z)(z,x)(t,y)} // Değer kümesinde boşta eleman yoktur.
Cevap E
Bir fonksiyonda değer kümesinde boşta eleman kalmıyorsa bu fonksiyon örten fonksiyondur.
14) A = "2,3,4,5,, B = "5,8,a,b, ve ƒ: A-->B olmak üzere ƒ(x) = 3x - 1 fonksiyonu bire bir ve örtendir. a + b kaçtır?
A) 25 B) 27 C) 29 D) 30 E) 32
Cevap A

15) ƒ = {(- 1, 3)(2, 4)(3, 7) (5,1)} ve g = {(1, 2)(2, 3)(4,- 1)(5, 2)}. fonksiyonları veriliyor.
Buna göre aşağıdakilerden hangisi doğrudur?
A) (ƒ + g) (1) = 5
B) (ƒ . g) (2) = 6
C) (ƒ/g) (5) = 2
D) (ƒ - g)(3) = 5
E) (2ƒ - 3g)(5) = - 4
Cevap E
2ƒ(5) - 3g(5)
2 . 1 - 3 . 2
2 - 6
-4
16) ƒ: R-->R ve g:R-->R olmak üzere ƒ(x) = 2x + 1, g(x) = (x - 3)2 veriliyor. Buna göre (ƒ . g) (2) nin sonucu aşağıdakilerden hangisidir?
A) 3 B) 4 C) 5 D) 6 E) 10
Cevap C
ƒ(x) = 2x + 1
ƒ(2) = 2 . 2 + 1
ƒ(2) = 5
g(x) = (x - 3)2
g(2) = (2 - 3)2
= (-1)2
= 1
(ƒ . g) (2)
5 . 1 = 5
17) ƒ = {(a, 2)(2, 3)(4, 5), g = {(a, 4) (2, a) (4,- 2) ve (ƒ . g) (a) = (ƒ + g)(2) ise a aşağıdakilerden hangisidir?
A) 2 B) 3 C) 4 D) 5 E) 6
Cevap D
ƒ(a) . g(a) = ƒ(2) . g(2)
2 . 4 = 3 + a
8 = 3 + a
a = 5
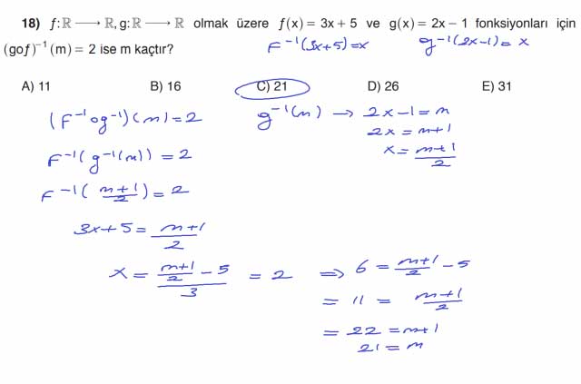
18) ƒ: R-->R, g: R-->R olmak üzere ƒ(x) = 3x + 5 ve g(x) = 2x - 1 fonksiyonları için goƒ 1 m 2 = ( h- ( h ise m kaçtır?
A) 11 B) 16 C) 21 D) 26 E) 31
Cevap C

19) ƒ: R-->R, g: R-->R olmak üzere ƒ(3x - 1) = 5x + 2 ve g(x) = x - 3 fonksiyonları için goƒ 1 1 1 ( - h- (- h in değeri kaçtır?
A) 3 B) 4 C) 5 D) 6 E) 7
Cevap E

20) ƒ: R-->R, g:R-->R olmak üzere g(x) = 2x + 4 ve ƒog x aşağıdakilerden
hangisine eşittir?
Cevap C

21) ƒ:R-->R olmak üzere ƒ(x - 3) = 2x - 5 fonksiyonu veriliyor. Buna göre ƒ-1 (3x + 1) aşağıdakilerden hangisine eşittir?
Cevap A

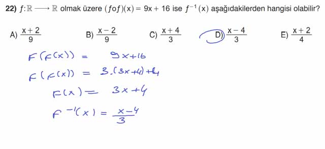
22) ƒ: R-->R olmak üzere (ƒoƒ)(x) = 9x + 16 ise ƒ-1 (x) aşağıdakilerden hangisi olabilir?
Cevap D

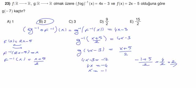
23) ƒ:R-->R, g:R-->R olmak üzere ƒog 1 x 4x 3 = - ( h- ( h ve ƒ(x) = 2x - 5 olduğuna göre g(- 7h kaçtır?
A) 1 B) 2 C) 3 D) 2 9 E) 2

24) ƒ:R-->R, ƒ(x) = ax + b doğrusal bir fonksiyon, ƒ-1 (7h = 4, ƒ-1 (1h = 2 olduğuna göre a --> b kaçtır?
A) –15 B) –12 C) –9 D) –3 E) –1

25) ƒ:A-->B, ƒ(x) = - 3x + 2 şeklinde tanımlı fonksiyon için A = 62, 5h ise ƒ(Ah kümesi aşağıdakilerden hangisine eşittir?
A) (- 15,13h B) (- 13, - 5@ C) (- 13, - 4@ D) 6- 4, 5h E) 61, 13h

26) ƒ:R-->R, x c + ( h fonksiyonu için (ƒogh(x) = x ise g(x) aşağıdakilerden hangisidir?

27) ƒ:R - "a,-->R - "b, olmak üzere x fonksiyonu veriliyor. Buna göre a --> b
kaçtır?
A) - 18 B) - 12 C) - 9 D) - 6 E) - 3

28) fonksiyonunun tanım kümesi R - "1, ise (ƒoƒh(x) in tanım kümesi aşağıdakilerden hangisidir?

29) ƒ:R - "-1,-->R olmak üzere ƒ x - ( h fonksiyonu veriliyor. Buna göre ƒ(2x + 1h fonksiyonunun ƒ(x) cinsinden eşiti aşağıdakilerden hangisidir?
Yorumların her türlü cezai ve hukuki sorumluluğu yazan kişiye aittir. Eğitim Sistem yapılan yorumlardan sorumlu değildir.