10. Sınıf Anka Matematik Sayfa 43-44 Cevapları
Alıştırmalar 1-5
1. açılımına göre aşağıda verilen ifadelerden doğru olanların başına “D”, yanlış olanların başına “Y” yazınız.
2. ifadesinde baştan 5. terim aşağıdakilerden hangisidir?

3. açılımına göre aşağıdaki soruları cevaplayınız.
a) Ortadaki terimin katsayısı kaçtır?
b) x-2 li terimin katsayısı kaçtır?

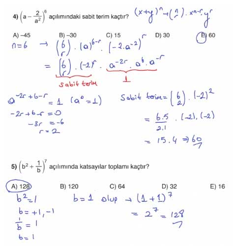
4. açılımındaki sabit terim kaçtır?
A) –45 B) –30 C) 15 D) 30 E) 60
5. açılımında katsayılar toplamı kaçtır?
A) 128 B) 120 C) 64 D) 32 E) 16

6. açılımındaki bir terim k $ a2 $ bm ise k + m kaçtır?
A) 4 B) 7 C) 14 D) 24 E) 56

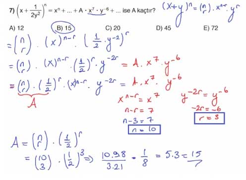
7. = + + $ 7 $ -6 + ise A kaçtır?
A) 12 B) 15 C) 20 D) 45 E) 72

8) C(10, 7h+ C(10, 8h+ C(11, 9h+ C(12,10h işleminin sonucu aşağıdakilerden hangisidir?
A) C(13,10h B) C(13, 2h C) 68 D) 12 E) 6

9. ifadesi veriliyor. Buna göre boş bırakılan yerleri a seçeneğindeki gibi doldurunuz
b) Ortadaki terim ...................................
c) Baştan 4. terim ...................................
ç) Sondan 3. terim ...................................
d) Baştan 2. terim, sondan ................................... terimdir.
e) Sondan 6. terim, baştan ................................... terimdir.

Yorumların her türlü cezai ve hukuki sorumluluğu yazan kişiye aittir. Eğitim Sistem yapılan yorumlardan sorumlu değildir.