10. Sınıf Anka Matematik Sayfa 85-86-87 Cevapları
Alıştırmalar 2-1
1) ƒ nin bir fonksiyon olması için aşağıdaki sıralı ikililerden hangisi çıkarılmalıdır?
A) (a, 1) B) (1, a) C) (b, 2) D) (2, b) E) (3, c)
2) A = "a,b,c, ve B = "1,2,3, olmak üzere A dan B ye tanımlanmış bir ƒ fonksiyonunu şema ile gösteriniz.
3) Yandaki şekilde ƒ fonksiyonu verilmiştir. Buna göre tanım, değer ve
görüntü kümelerini yazınız.
4) A = "1,2,3,4, ve B = "3,4,5,6,7, olmak üzere A dan B ye tanımlı
ƒ = "^1,5h,^2,6h,^3,3h,^4,7h, fonksiyonunun görüntü kümesini yazınız.

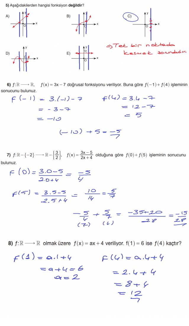
5) Aşağıdakilerden hangisi fonksiyon değildir?
6) ƒ:R$R, ƒ^xh = 3x - 7 doğrusal fonksiyonu veriliyor. Buna göre ƒ^-1h+ ƒ^4h işleminin sonucunu bulunuz.
7) olduğuna göre ƒ^0h+ ƒ^5h işleminin sonucunu bulunuz.
8) ƒ:R$R olmak üzere ƒ^xh = ax + 4 veriliyor. f^1h = 6 ise ƒ^4h kaçtır?

9) ƒ:R$R, y = ƒ(x) = x2 fonksiyonu veriliyor. ƒ fonksiyonu altındaki görüntüsü 144 olan x ekseni
üzerindeki noktalar aşağıdakilerden hangisidir?
A) –9 ve 9 B) –10 ve 10 C) –11 ve 11 D) –12 ve 12 E)–44 ve 44
fonksiyon ifade eder?
A) {(1, 6), (2, 8), (3, 5)} B) {(1, 5), (2, 5), (3, 5)}
C) {(1, 8), (2, 8), (3, 5)} D) {(1, 7), (2, 7), (3, 6)}
11) Aşağıda verilen fonksiyonların bire bir veya örten olup olmadığını belirtiniz.

12) Aşağıda kuralları verilen ve R$R ye tanımlı ƒ, g ve h fonksiyonlarının tek veya çift olup olmadıklarını bulunuz.
a) ƒ^xh = x2 + 3 b) g^xh = 5x c) h^xh = x3 + x2
13) ƒ:6- 4, 2h$R ve g:^- 3, 5@$R dir.
Buna göre ^ƒ + gh^xh in tanım kümesi aşağıdakilerden hangisidir?
A) 6- 1, 3h B) 6- 1, 2h C) ^- 3, 2h D) 6- 4, 5@ E) ^- 3, 2@

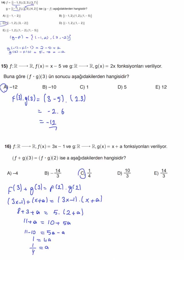
14) ƒ = $^- 1, 0h,^2, 3h,^3, 7h.
g = $^- 1, 2h,^3, 5h,^4, 2h. ise ^g - ƒh aşağıdakilerden hangisidir?
A) "^- 1,- 2h, B) $^- 1, 2h,^1, 2h,^1,- 5h.
C) "^-1, 2h, ^3,- 2h, D) "^- 1, 2h,^1,- 2h,
E) "^- 1, 2h,^1,- 2h,^1,- 5h,
15) ƒ:R$R, ƒ^xh = x - 5 ve g:R$R, g^xh = 2x fonksiyonları veriliyor.
Buna göre ^ƒ $ gh^3h ün sonucu aşağıdakilerden hangisidir?
A) –12 B) –10 C) 1 D) 5 E) 12
16) ƒ:R$R, ƒ^xh = 3x - 1 ve g:R$R, g^xh = x + a fonksiyonları veriliyor.
^ƒ + gh^3h = ^ƒ $ gh^2h ise a aşağıdakilerden hangisidir?

17) ƒ = $^1, 3h,^2,- 5h,^4,1h.
g = "^1, 5h,^2, ah,^3, 7h, ve
^ + h^1h = e o^2h ise a aşağıdakilerden hangisidir?
A) –40 B) –20 C) 10 D) 20 E) 40
18. Yukarıda verilen y = ƒ^xh doğrusal fonksiyonu bir bitkinin zamana bağlı boy değişimini vermektedir.
Buna göre yedinci ay sonunda bitkinin boyu kaç cm olur?

Not : Bu sayfadaki cevaplar zekihaber.com sitesinden alınmıştır.
Yorumların her türlü cezai ve hukuki sorumluluğu yazan kişiye aittir. Eğitim Sistem yapılan yorumlardan sorumlu değildir.