10. Sınıf Aydın Matematik Sayfa 45 Cevapları
ÖNCEKİ BİLGİLERİNİ TEST ET
1. Aşağıda verilen sayı örüntülerini ifade eden kuralları yazınız.
a. 3 , 6 , 9 , 12 , ... b. 1 , 3 , 5 , 7 , ...
c. 2 , 5 , 8 , 11 , ... d. 5 , 9 , 13 , 17 , ...
2. Aşağıdaki sıralı ikililerin eşitliklerini sağlayan x ve y sayıları için x + y değerlerini bulunuz.
a. ( x + 1 , 3 ) = ( 5 , 2 – y ) b. ( 2x , 3y – 1 ) = ( – 6 , – 10 )
c. ( 12 , 3x – 4 ) = ( 2y + 2 , 14 ) d. ( x . y , 2 ) = ( 18 , y – 1 )

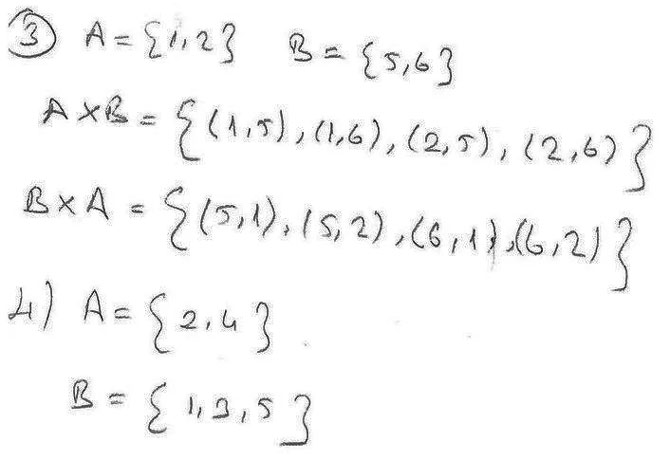
3. A = { 1, 2 } , B = { 5, 6 } kümeleri için A x B ve B x A kümelerini yazınız.
4. A x B = { ( 2, 1 ), ( 2, 3 ), ( 2, 5 ), ( 4, 1 ), ( 4, 3 ), ( 4, 5 ) } olduğuna göre A ve B kümelerini yazınız.

5. x + 3y = 10 doğrusu için aşağıdaki noktalardan kaç tanesi bu doğrunun üzerindedir?
a. ( 0, 3 ) b. ( – 1, 4 ) c. ( – 2, 4 )
d. ( 10, 0 ) e. ( 4, 6 ) f. ( 16, – 2 )
6. Yandaki şekilde verilen doğru grafiğine göre bu doğrunun denklemi aşağıdakilerden hangisidir?
A) 3x + y = 1 B) x + 3y = 1 C) x + y = 3 D) 3x + y = 3 E) x + 3y = 3

Kaynak:Eğitim Sistem
Yorumların her türlü cezai ve hukuki sorumluluğu yazan kişiye aittir. Eğitim Sistem yapılan yorumlardan sorumlu değildir.