10. Sınıf Matematik Ders Kitabı Sayfa 15 Cevapları Miray Yayınları
1.1.3 Öğrendiğimizi Uygulayalım
1. A = {1,2, 3, 4} kümesinin; permütasyonlarını yazınız
a. 1’li → 1, 2, 3, 4
b. 2’li → 12, 21, 13, 31, 14, 41, 23, 32, 24, 42, 34, 43
c. 3’lü → 123, 132, 213, 231, 312, 321, 134, 143, 314, 341, 413, 431, 234, 243, 324, 342, 432, 423, 124, 142, 214, 241, 412, 421
ç. 4’lü → 1234, 1243, 1324, 1342, 1423, 1432, 2134, 2143, 2314, 2341,2413, 2431, 3124, 3142, 3214, 3241, 3412, 3421, 4123, 4132, 4213, 4231, 4312, 4321
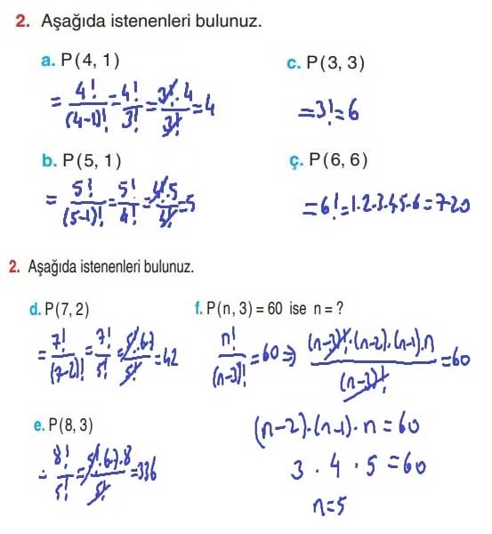
2. Aşağıda istenenleri bulunuz.
a. P(4,1) → 4
b. P(5,1) → 5
d. P(7, 2) → 6
c. P(3, 3) → 720
ç. P(6,6) → 42
e. P(8, 3) → 336
f. P(n, 3) = 60 ise n = ? → 5

3. Aşağıdaki eşitliklere göre n değerini bulunuz.
a. 5 P(n-1,2) = P(n, 3) → 5
b. 3-P(n, 3) = 2-P(n + 1,3) → 8

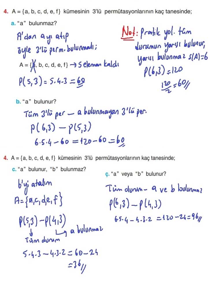
4. A = {a, b, c, d, e, f} kümesinin 3’lü permütasyonlarının kaç tanesinde
a. “a” bulunmaz? → 60
b. “a” bulunur? → 60
c. “a” bulunur, “b” bulunmaz? → 36
ç. “a” veya “b” bulunur? → 96

5. 5 erkek ve 4 kadın yan yana sıralanacaktır. Buna göre;
a. Bu 9 kişi kaç farklı şekilde sıralanabilir?
Cevap: 9!
b. 9 kişiden herhangi 4’ü kaç farklı şekilde sıralanabilir?
Cevap: P(9, 4)= 3024
c. Kadınların yan yana gelmesi koşuluyla 9 kişi kaç farklı şekilde sıralanabilir?
Cevap: 6!.4!
ç. Kadınlardan herhangi ikisinin yan yana gelmemesi koşuluyla 9 kişi kaç farklı şekilde sıralanabilir
Cevap: 5!.P(6, 4)
e. 9 kişiden belli ikisinin yan yana gelmemesi koşulu ile bu 9 kişi kaç farklı şekilde sıralanabilir?
Cevap: 9!-8!.2!

Not: Bu sayfadaki bazı soruların cevapları zekihaber.com sitesinden alınmıştır.
Yorumların her türlü cezai ve hukuki sorumluluğu yazan kişiye aittir. Eğitim Sistem yapılan yorumlardan sorumlu değildir.