Manşetler
Günün Haberleri
Arşiv
Sitene Ekle
Eğitim Sistem
  • Ana Sayfa
  • ALES-DGS
  • AÖF - AUZEF - ATAAOF-ANKUZEF
  • KPSS
  • EĞİTİM
  • İstanbul 11 °C
24
14:00 “Yalnız” mı, “Yanlız” mı? En Çok Karıştırılan Kelimenin Doğru Yazımı Açıklandı
10:00 28 Kasım - 1 Aralık 2025 Özdebir Türkiye Geneli YKS 2. Deneme Cevap Anahtarı Açıklandı
02:00 26-27 Kasım 2025 Özdebir LGS 2. Deneme Cevap Anahtarı Ne Zaman Açıklanacak?
08:00 Bisiklet sporu gibi koruma amaçlı ekipmanları olan farklı spor dalları nelerdir?
00:00 Yastığımız taştan, tencerelerimiz oyun hamurundan olsaydı sizce nasıl olurdu?
18:00 Rengi, kokusu ve tadı olan maddelere birer örnek yazınız
14:00 Hangi durumlarda bazı maddeler vücudumuza zarar verebilir? Bu gibi durumlarda hangi güvenlik önlemleri alınmalıdır?
10:00 Dalgıçların kullandığı tüpler gibi içinde hava depolanan tüpleri kullanan başka meslekler nelerdir?
03:00 Bir yüzeyin pürüzlü veya pürüzsüz hâle getirilmesinin amacı nedir?
12:00 3. Sınıf Cem Fen Bilimleri Ders Kitabı Sayfa 125-139 Cevapları
Günün tüm haberleri
  1. Anasayfa
  2. Foto Galeri
  3. Cevap Anahtarı
  4. 10. Sınıf Matematik Sayfa 40-43 Cevapları

10. Sınıf Matematik Sayfa 40-43 Cevapları

10. Sınıf Matematik Sayfa 40, 41, 42, 43 1. Ünite Sonu Değerlendirme Soruları ve Cevaplarına foto galerimizde ulaşabilirsiniz.
YAYINLAMA: 01 Ekim 2019 Salı 13:00
GÜNCELLEME: 30 Mart 2022 Çarşamba 18:19
10. Sınıf Matematik Sayfa 40-43 Cevapları 1 138

1. Aşağıdaki ifadelerin eşitlerini bulunuz.

10. Sınıf Matematik Sayfa 40-43 Cevapları 2 238

1. Aşağıdaki ifadelerin eşitlerini bulunuz. (Devamı)

10. Sınıf Matematik Sayfa 40-43 Cevapları 3 338

1. Aşağıdaki ifadelerin eşitlerini bulunuz. (Devamı)

10. Sınıf Matematik Sayfa 40-43 Cevapları 4 438

2. Bir sınavda öğrenciler 10 sorunun 8 ini cevaplamak zorundadır. Bir öğrenci bu 10 sorudan 8 ini kaç farklı biçimde seçebilir?

10. Sınıf Matematik Sayfa 40-43 Cevapları 5 538

3. Ayşe, Betül, Filiz ve Deniz yan yana fotoğraf çektireceklerdir. Dört arkadaş kaç farklı biçimde fotoğraf çektirebilir?

10. Sınıf Matematik Sayfa 40-43 Cevapları 6 638

4. Aşağıdaki eşitliklerde, eşitlikleri sağlayan n değerlerini bulunuz.

10. Sınıf Matematik Sayfa 40-43 Cevapları 7 738

5. Bir moda tasarımcısı elindeki 8 farklı renkteki kadife ve 5 farklı renkteki ipek kumaşlardan elbise tasarımı yapıyor.
a. Tasarımcı elindeki kumaşlardan birini kaç farklı biçimde seçebilir?
b. Tasarımcı bir elbise için 3 farklı kumaş kullanmak isterse kumaş seçimini kaç farklı biçimde yapabilir?

10. Sınıf Matematik Sayfa 40-43 Cevapları 8 838

6. 20 kişinin katıldığı bir sınavda, sınava girenlerin sınavı kazanıp kazanamama durumu kaç farklı biçimde gerçekleşebilir?

10. Sınıf Matematik Sayfa 40-43 Cevapları 9 938

7. Alfabedeki harfler kullanılarak tersten okunuşu kendisi ile aynı olan anlamlı ya da anlamsız 3 harfli kaç farklı kelime oluşturabilir?

10. Sınıf Matematik Sayfa 40-43 Cevapları 10 1038

8. İçerisinde 4 rakamının bir kez kullanıldığı üç basamaklı kaç doğal sayı yazılabilir?

10. Sınıf Matematik Sayfa 40-43 Cevapları 11 1138

9- eşitliğini gerçekleyen n değeri aşağıdakilerden hangisidir?
A) 5 B) 6 C) 7 D) 8 E) 9

10. Sınıf Matematik Sayfa 40-43 Cevapları 12 1238

10. 9 kişinin finale kaldığı bir bilgi yarışmasında ilk üçe girenlere ödül verilecektir. Ödüller kaç farklı biçimde dağıtılabilir?
A) 720 B) 560 C) 504 D) 450 E) 420

10. Sınıf Matematik Sayfa 40-43 Cevapları 13 1338

11. 4 kız ve 4 erkek aynı cinsiyetten iki kişi yan yana gelmemek koşuluyla aynı sıradaki 8 koltuğa kaç farklı biçimde oturabilir?

10. Sınıf Matematik Sayfa 40-43 Cevapları 14 1438

12. Bir A kümesinin 4 elemanlı alt kümelerinin sayısı 2 elemanlı alt kümelerinin sayısına eşittir.
Bu kümenin en az 4 elemanlı kaç alt kümesi olduğunu bulunuz.

10. Sınıf Matematik Sayfa 40-43 Cevapları 15 1538

13. A = { 2, 4, 6, 8, a, b, c} kümesinin 4 elemanlı alt kümelerinin kaç tanesinde 2 ve 4 elemanları bulunur, a elemanı bulunmaz?

10. Sınıf Matematik Sayfa 40-43 Cevapları 16 1638

14. 5 doktor ve 6 mühendisin bulunduğu gruptan 4 kişilik bir ekip oluşturulacaktır. En çok 2 si mühendis olan bir ekip kaç farklı biçimde oluşturulabilir?
A) 60 B) 150 C) 215 D) 275 E) 360

10. Sınıf Matematik Sayfa 40-43 Cevapları 17 1738

15- Yukarıdaki şekilde d 1 // d 2 dir. d 1 doğrusunun üzerinde 4, d 2 doğrusunun üzerinde de 5 nokta belirlenmiştir. Buna göre;
a. Köşeleri bu noktalar olan kaç farklı üçgen çizilebilir?
b. Köşeleri bu noktalar olan kaç farklı çokgen çizilebilir?

10. Sınıf Matematik Sayfa 40-43 Cevapları 18 1838

16. 12 soruluk bir sınavda her öğrenci 6 soru cevaplandıracaktır.
Ayrıca her öğrenci ilk 5 sorudan en az 4 tanesini cevaplamak zorundadır.
Buna göre bir öğrenci soru seçimini kaç farklı biçimde yapabilir?

10. Sınıf Matematik Sayfa 40-43 Cevapları 19 1938

17. Bir otelde biri 4 diğeri 3 kişilik iki oda kiralanmıştır. 6 kişiden belli ikisi aynı odada olmamak koşuluyla, 6 kişi bu iki odada kaç farklı biçimde kalabilir?

10. Sınıf Matematik Sayfa 40-43 Cevapları 20 2038

18- eşitliğini sağlayan n değerlerinin toplamı kaçtır?

10. Sınıf Matematik Sayfa 40-43 Cevapları 21 2138

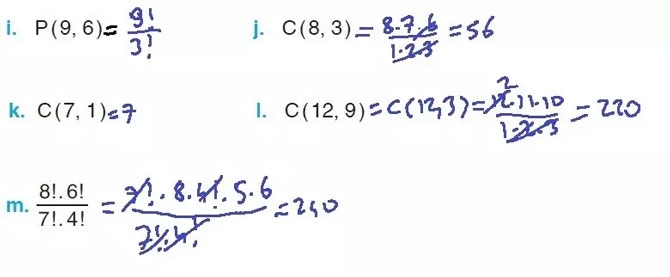
19- işleminin sonucunu bulunuz.

10. Sınıf Matematik Sayfa 40-43 Cevapları 22 2238

20. Aşağıdaki noktalı yerleri uygun ifadelerle doldurunuz.
a. ( x – 2 y ) 3 ifadesinde sabit terim bulunurken x ve y yerine ................. yazılır.
b. ( 2 x – y ) 7 ifadesinin açılımında .............. terim vardır.

10. Sınıf Matematik Sayfa 40-43 Cevapları 23 2338

21. Bir deney A, B, C gibi 3 ayrı durum ile sonuçlanabilmektedir.
Sonucun A olma olasılığı, B olma olasılığının 2 katı, C olma olasılığının da 3 katıdır.
Buna göre sonucun C olma olasılığı nedir?

10. Sınıf Matematik Sayfa 40-43 Cevapları 24 2438

22. Hilesiz bir zar atılıyor.
Zarın üst yüzeyine gelen sayının tek olan asal sayı olma olasılığı nedir?

10. Sınıf Matematik Sayfa 40-43 Cevapları 25 2538

23. Açınımı yandaki şekilde de verilen küp yuvarlanıp durduğunda üst yüzünde okunan sayının 3 ile bölünebilme olasılığı kaçtır?

10. Sınıf Matematik Sayfa 40-43 Cevapları 26 2638

24. İçinde 15 kart bulunan bir torbadan sarı kart çekme olasılığı 1/5tir.
Buna göre torbaya kaç yeşil kart atılırsa sarı kart çekme olasılığı 1/10 olur?
A) 3 B) 5 C) 10 D) 12 E) 15

10. Sınıf Matematik Sayfa 40-43 Cevapları 27 2738

25- Yukarıdaki grafiğe göre sınıftan rastgele seçilen bir öğrencinin 25 TL değerindeki kalemliği satın alabilme olasılığı kaçtır?

10. Sınıf Matematik Sayfa 40-43 Cevapları 28 2838

26. Herkesin en az bir dersten başarılı olduğu 20 kişilik bir sınıfta 13 kişi Türkçe, 15 kişi de matematik dersinden başarılı olmuştur.
Seçilen öğrencinin iki dersten de başarılı olmuş olma olasılığı kaçtır?

10. Sınıf Matematik Sayfa 40-43 Cevapları 29 2938

27. Bir torbada mavi ve kırmızı renkte özdeş bilyeler vardır. Torbadan alınan bir bilyenin kırmızı olma olasılığı 2/9 dir.
Torbada 4 kırmızı bilye olduğuna göre mavi bilye sayısı kaçtır?
A) 14 B) 15 C) 16 D) 18 E) 27

10. Sınıf Matematik Sayfa 40-43 Cevapları 30 3038

28. Bir yarışmada Ali’nin birinci olma olasılığı 2/7 ise Ali dışındaki birinin birinci olma olasılığı kaçtır?

Bir torbada 1 den 15 e kadar numaralandırılmış özdeş 15 top vardır.
Buna göre aşağıdaki 29, 30, 31 ve 32 numaralı soruları yukarıdaki bilgiye göre cevaplandırınız.

10. Sınıf Matematik Sayfa 40-43 Cevapları 31 3138

29. Torbadan çekilen bir topun üzerindeki sayının 4 ten küçük olma olasılığı kaçtır?

10. Sınıf Matematik Sayfa 40-43 Cevapları 32 3238

30- Torbadan çekilen bir topun üzerindeki sayının çift sayı olmama olasılığı kaçtır?

10. Sınıf Matematik Sayfa 40-43 Cevapları 33 3338

31- Torbadan çekilen bir topun üzerindeki sayının asal sayı olmama olasılığı kaçtır?

10. Sınıf Matematik Sayfa 40-43 Cevapları 34 3438

32- Torbadan çekilen bir topun üzerindeki sayının pozitif olma olasılığı kaçtır?

10. Sınıf Matematik Sayfa 40-43 Cevapları 35 3538

33- Bir küpün 4 yüzü yeşile, 1 yüzü maviye ve 1 yüzü de sarıya boyanıyor.
Küp düz bir masaya atıldığında sarı yüzün görünmeme olasılığı kaçtır?

10. Sınıf Matematik Sayfa 40-43 Cevapları 36 3638

34- Özdeş 3 mavi, 4 yeşil ve 5 kırmızı bilyenin bulunduğu bir torbadan rastgele seçilen bir bilyenin yeşil olmama olasılığı kaçtır?

10. Sınıf Matematik Sayfa 40-43 Cevapları 37 3738

35- Bir sınıftan rastgele seçilen bir öğrencinin kız olma olasılığı 2/5 dir.
Bu sınıfta 12 tane kız öğrenci varsa kaç tane erkek öğrenci vardır?
A) 30 B) 24 C) 18 D) 16 E) 12

10. Sınıf Matematik Sayfa 40-43 Cevapları 38 3838

36- Aşağıdakilerden hangileri kesinlikle doğrudur?
I. Atılan bir zarın tek ya da çift gelmesi olasılığı eşittir.
II. Atılan bir zarın en az 6 gelmesi imkânsız olaydır.
III. Atılan bir paranın dik gelme olasılığı 1/3 tür.
A) Yalnız I B) Yalnız II C) I ve III
D) II ve III E) I, II ve III

Eğitim Sistem © 2011-2025
Anasayfa
Künye
İletişim
Gizlilik İlkeleri
Sitene Ekle
  • İOKBS ve LGS Haberleri
  • Dini Bilgiler Haberleri
  • Atasözleri Haberleri
  • Belirli Gün ve Haftalar
  • Meslekler Rehberi Haberleri
  • Lisans Taban Puanları
  • Önlisans Taban Puanları
  • Üniversite Taban Puanları
  • Lise Taban Puanları
  • DGS Taban Puanları
Haber Portalı Yazılımı
Eğitim Sistem
Haberler
  • Son Haberler
  • Manşetler
  • ALES-DGS
  • AÖF - AUZEF - ATAAOF-ANKUZEF
  • KPSS
  • EĞİTİM
  • ÖSYM
  • MEB
  • HABERLER
  • MEMUR
  • ATAMA
  • SINAV
  • YGS-LYS
  • ÖDEV & BİLGİ DÜNYASI
  • SORU & CEVAP
  • TABAN PUANLAR
Diğer İçerikler
  • Foto Galeri
  • Web Tv
  • Yazarlar
  • Gazete Manşetleri
  • Namaz Vakitleri
  • Hava Durumu
Kurumsal
  • Künye
  • İletişim
  • Gizlilik İlkeleri
  • Çerez Politikası
  • Geliştiriciler İçin
  • Reklam ve Tanıtım
  • Kullanım Şartları
  • Telif Hakları
  • Haber Ekle
  • Uyar-Kaldır