10. Sınıf Meb Matematik Sayfa 75-76 Cevapları
10. Sınıf Meb Yayınları Matematik Olasılık Kavramı Sayfa 75, 76 Ölçme ve Değerlendirme 2 Cevapları
ÖLÇME VE DEĞERLENDİRME 2
A) Aşağıdaki cümlelerde boş bırakılan yerlere doğru sayıyı yazınız.
1. 5 öğrenci arasından 2 öğrenci 10 farklı şekilde seçilebilir. // (5 2) = 10
2. 20 farklı kitap arasından 19 farklı kitap 20 farklı şekilde seçilebilir. // (20 19) - (20 1)
3. 6 elemanlı bir kümenin 2 elemanlı alt kümelerinin sayısı 15 tir. // (6 2) = 15
B) Aşağıda numaralarla verilen ifadeler ile harflerle verilen matematiksel ifadeleri eşleştirip eşleşenleri alttaki
kutulara yazınız.
4- 1- ç 2- b 3- e 4- d
5- 1- c 2- ç 3- d 4- a
C) Aşağıdaki açık uçlu soruların cevabını ilgili alana yazınız.
6. A = {x | x bir rakamdır} kümesinin 4 elemanlı alt kümelerinin kaçının elemanları çarpımının tek sayı olduğunu bulunuz.
7. (x + 1/ x)6 ifadesi x in azalan kuvvetlerine göre açıldığında ortadaki terimi bulunuz.
(6 3) = (6.5.4) / (1.2.3) = 20
8. C(n + 1, n - 1) - 6 = C(n, n - 2) olduğuna göre n ifadesinin değerini bulunuz.

9. Çanakkale Şehitliği’ne gezi düzenleyen 20 kişilik bir öğrenci grubundan 3 kişi Şehitler Anıtı’na çelenk koymak üzere seçilecektir. Çelenk koyacak 1 öğrenci belli olduğuna göre bu öğrencilerin kaç farklı şekilde seçilebileceğini
bulunuz.
10-12. soruları aşağıda verilen bilgilere göre cevaplandırınız.
A = {1, 2, 3, 4, 5, 6} ve B = {a, b, c, d} kümeleri veriliyor.
10. A kümesinin 3 elemanlı alt kümelerinde 1 ve 2 elemanlarının birlikte bulunduğu kümelerin sayısını bulunuz.
{1, 2, _} (4 1) = 4
11. A ve B kümelerinden ikişer eleman alınarak 4 haneli şifreler oluşturuluyor. Buna göre harf ile başlayıp harf ile biten kaç şifre oluşturulduğunu bulunuz.
12. A ve B kümelerini kapsayan kümelerden eleman sayısı en az olan kümenin 3 elemanlı alt kümelerinin kaç tanesinde en az bir harfin bulunduğunu bulunuz.
D) Aşağıdaki çoktan seçmeli sorularındoğru seçeneğini işaretleyiniz.
13. Herkesin yalnız bir spor dalıyla ilgilendiği bir kafilede 5 futbolcu, 6 voleybolcu ve 7 basketbolcu vardır. Bu sporcu kafilesinden 1 futbolcu, 2 voleybolcu ve 3 basketbolcudan oluşan bir ekip kaç değişik biçimde oluşturulabilir?
A) 1375 B) 2420 C) 2500 D) 2575 E) 2625
(5 1) . (6 2) . (7 3) = 2625
14. Aralarında Eyüp ve Adem’in de bulunduğu 8 kişilik bir gruptan 3 ve 5 kişilik iki ekip kurulacaktır. Eyüp ve Adem’in ikisinin de aynı ekipte olması koşuluyla kaç farklı ekip oluşturulabilir?
A) 26 B) 28 C) 30 D) 32 E) 34
(6 5) + (6 3) + (3 3) = 6 + 20 = 26
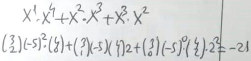
15. (x - 53) . (x + 2)4 ifadesinin açılımından elde edilen x5 li terimin katsayısı kaçtır?
A) -171 B) -151 C) -21 D) 21 E) 219

16. (2x - 1/x)4 ifadesinin açılımında sabit terim kaçtır?
A) 48 B) 42 C) 36 D) 24 E) 18

17. (x3 + 2y)n = ... + a + x9 . y4 açılımındaki a gerçek sayısının değeri kaçtır?
A) 500 B) 560 C) 660 D) 700 E) 720

ÖLÇME VE DEĞERLENDİRME 2 CEVAPLARI
1. 10 2. 20 3. 15 4. 1ç, 2b, 3e, 4d 5. 1c, 2ç, 3d, 4a 6. 5 7. 20 8. 6
9. 171 10. 4 11. 360 12. 100 13. E 14. A 15. C 16. D 17. B
Yorumların her türlü cezai ve hukuki sorumluluğu yazan kişiye aittir. Eğitim Sistem yapılan yorumlardan sorumlu değildir.