11. Sınıf Matematik Ders Kitabı Sayfa 74 Cevapları Anka Yayınları
Yayınlanma:
11. Sınıf Anka Kuşu Yayınları Matematik Sayfa 74 Uygulayalım 1-6 Cevaplarını yazımızın devamından okuyabilirsiniz.
UYGULAYALIM 1-6
1. Aşağıdaki ifadelerin değerini bulunuz.
a) arctan^-1h
b) arcsin^-1h
c) arcsin 2
2 e o
ç) arccos 2
2 e o
2. arcsin x 5 4 = olduğuna göre tanx kaçtır?

3. cos arctan x 2 1 b l = olduğuna göre x kaçtır?
4. sin^arcsin xh = x olduğunu gösteriniz.

5. cos arcsin x 1 x2 ^ h = - olduğunu gösteriniz.
6. cos arcsin 5 3 c c- mm ifadesinin eşitini bulunuz.

7. tan 2 arcsin 2 r 1 b + l ifadesinin değerini bulunuz.
8. cos arcsin 5 cot arctan 4 12 5 c b lm+ c b- lm ifadesinin değerini bulunuz.

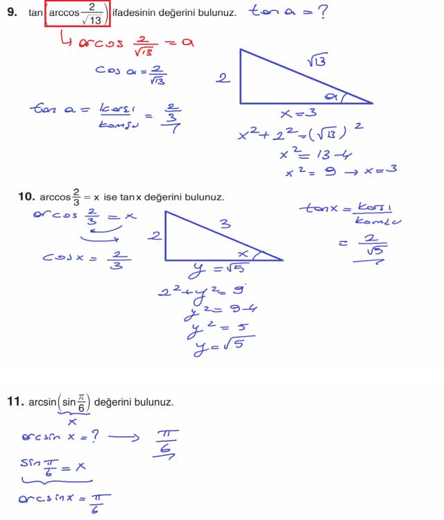
9. tan arccos 13 2 e o ifadesinin değerini bulunuz.
10. arccos x 3 2 = ise tan x değerini bulunuz.
11. arc sin sin 6 r b l değerini bulunuz.

Not: Bu sayfadaki cevaplar zekihaber.com sitesinden alınmıştır.
SORU & CEVAP
Yorumların her türlü cezai ve hukuki sorumluluğu yazan kişiye aittir. Eğitim Sistem yapılan yorumlardan sorumlu değildir.