11. Sınıf Meb Matematik Sayfa 49 Cevapları
Alıştırmalar
1. Şekildeki ABC üçgeninde |AE| = |BD| = 2 birim, |AD| = 4 birim, |ED| = 3 birim ve |EC| = 6 birim olduğuna göre |BC| = x uzunluğunun kaç birim olduğunu bulunuz.
2. Bir ABC üçgeninin kenarları arasında c2 - b2 = a.c - a2 bağıntısı olduğuna göre B açısının ölçüsünün kaç derece olduğunu bulunuz.

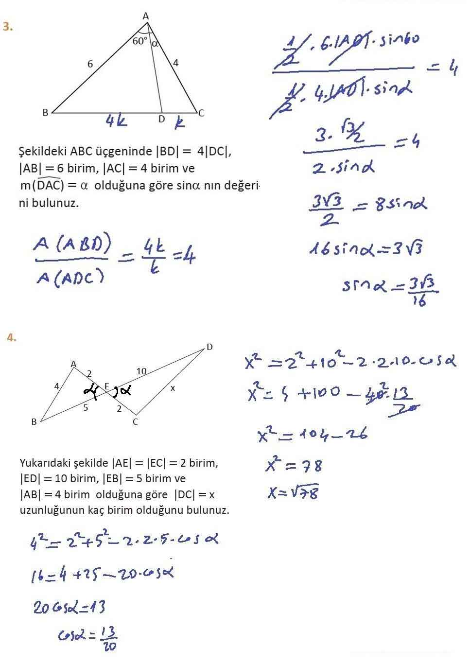
3. Şekildeki ABC üçgeninde |BD| = 4|DC|, |AB| = 6 birim, |AC| = 4 birim ve
m(D\AC) = a olduğuna göre sinα nın değerini bulunuz.
4. Yukarıdaki şekilde |AE| = |EC| = 2 birim, |ED| = 10 birim, |EB| = 5 birim ve
|AB| = 4 birim olduğuna göre |DC| = x uzunluğunun kaç birim olduğunu bulunuz.

5. Kenar uzunlukları |BC| = a, |AC| = b, |AB| = c olan bir ABC üçgeninin kenarları arasında a2 + c2 - b2 = 10.cot (BU) bağıntısı ve a.c = 6 olduğuna göre sin(BU) değerini bulunuz.
6. Yukarıdaki ABC üçgeninde |AC| = 5 birim, |BC| = 7 birim, m(WA) = β, m(BU) = α ve β - α = 90° olduğuna göre cotα nın değerini bulunuz.

Yorumların her türlü cezai ve hukuki sorumluluğu yazan kişiye aittir. Eğitim Sistem yapılan yorumlardan sorumlu değildir.