6. Sınıf Öğün Matematik Sayfa 120-121 Cevapları
ALIŞTIRMALAR
1- Aşağıda verilen bölme işlemlerini modelleyerek yapınız.
2- Bir fotokopi makinesi her 3/4 dakikada bir sayfa fotokopi çekiyor. Bu makine 4 tam 1/2 dakikada kaç
sayfa fotokopi çeker?
3- Yandaki tabloda bölgelerimizin sahip oldukları ormanlık alanlar yaklaşık olarak verilmiştir.
Tabloya göre;
a) Akdeniz Bölgesi’nin sahip olduğu ormanlık alan, Doğu Anadolu Bölgesi’nin kaç katıdır?
b) Karadeniz Bölgesi’nin sahip olduğu ormanlık alan, Ege Bölgesi’nin kaç katıdır?
4- Aşağıda verilen bölme işlemlerinin hangisinde bölünen, sonuçtan küçük olur?

5- Aşağıda verilen bölme işlemlerini yapınız.

6- Aşağıdaki ifadelerden doğru olanın başına “D”, yanlış olanın başına “Y” yazınız.
(D) Kesirlerle bölme işlemi yapılırken tam sayılı kesir varsa bileşik kesre çevrilir.
(Y) Kesirlerle bölme işlemi yapılırken birinci kesir ters çevrilerek ikinci kesir ile çarpılır.
(D) Kesirlerle bölme işlemi, paydalar eşitlenip birinci kesrin payı, ikinci kesrin payına bölünerek de yapılır.
(D) 8 : 1/4 ifadesi, 8’in içinde kaç tane 1/4 olduğunu gösterir.
(D) Bir doğal sayı 1’den büyük bir kesirle bölündüğünde sonuç, bu sayıdan büyük olur.
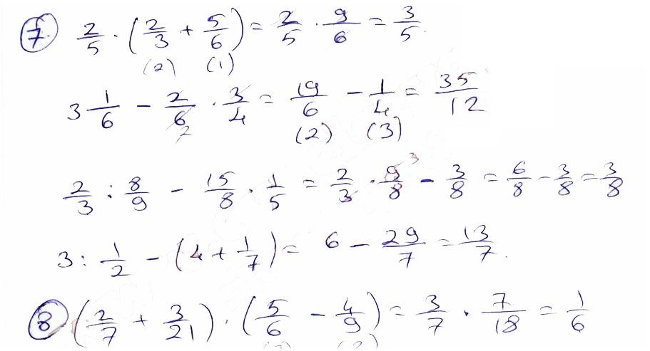
7- Aşağıda verilen işlemleri işlem özelliğine dikkat ederek yapınız.
8- işleminin sonucu kaçtır?

9- Aşkın Öğretmen, etüt aralarında öğrencilerine meyve dağıtıyor. Her öğrencisine bir elmanın 3/4’ünü veren Aşkın Öğretmen, 3 elmayı kaç öğrencisine dağıtmıştır?
Yorumların her türlü cezai ve hukuki sorumluluğu yazan kişiye aittir. Eğitim Sistem yapılan yorumlardan sorumlu değildir.