7. Sınıf Matematik Ders Kitabı Sayfa 58 Cevapları Meb Yayınları
Hazır mıyız?
1. Aşağıdaki toplama ve çıkarma işlemlerini yapınız.
5 tam -1/3 =
1/5 + 2/3 =
3 tam 1/5 + 5 tam 1/15 =
1 tam 3/8 + 1/2 =
2 tam 2/7 – 1 tam 3/7 =
3/8 - 1/24 =

2. Ekrem bir gününün 1/4’ünü uykuda, 1/3’ünü okulda, 1/6’sını ders çalışarak, 1/8 ’ini spor yaparak, 1/12’sini de kitap okuyarak geçirmektedir. Geriye kalan vaktinde de bilgisayar oynadığına göre Ekrem günde kaç saat bilgisayar oynamaktadır? (www.egitimsistem.com)
1/4 + 1/3 + 1/8 + 1/12 (Payda eşitleyelim 24'e)
6/24 + 8/24 + 3/24 + 2/24 = 23/24
1 - 23/24 = 24/24 - 23/24 = 1/24
3. Ali’nin boyu 1 7/10 m, Ayşe’nin boyu ise 1 59/100 m olduğuna göre Ali ile Ayşe’nin boyunu karşılaştırıp hangisinin daha uzun olduğunu bulunuz.
Payda eşitleyelim
Ali; 7/10 = 70/100
Ayşe; 59/100
70/100 > 59/100
Ali'nin boyu Ayşe'den uzundur.
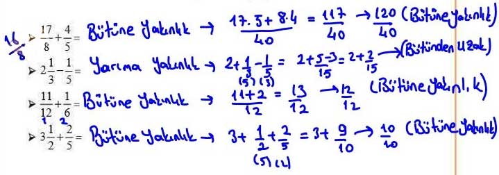
4. Aşağıdaki sayıları yarıma ve bütüne yakınlık durumlarına göre tahmin ederek işlemlerin sonuçlarını bulunuz. Gerçek sonuçlarla tahmini sonuçlarınızı karşılaştırınız.
17/8 + 4/5 =
2 1/3 – 1/5 =
11/12 + 1/6 =
3 1/2+ 2/5 =

Yorumların her türlü cezai ve hukuki sorumluluğu yazan kişiye aittir. Eğitim Sistem yapılan yorumlardan sorumlu değildir.