8. Sınıf Kök-e Matematik Sayfa 155 Cevapları
Yayınlanma:
Güncelleme:
8. Sınıf Kök-e Yayıncılık Matematik Sayfa 155 Öğrendiklerimizi Uygulayalım Cevaplarını yazımızın devamından okuyabilirsiniz.
Öğrendiklerimizi Uygulayalım
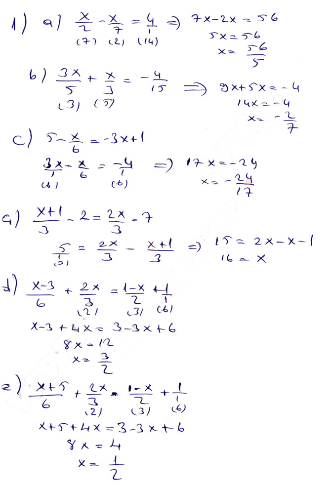
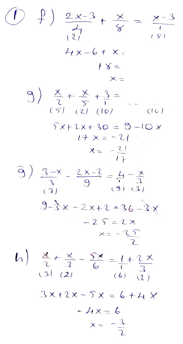
1. Aşağıdaki denklemleri sağlayan x değerlerini bulunuz.


2. Aşağıda verilen denklemin çözüm basamaklarının ilk hangisinde hata yapılmıştır?
Cevap : 3 Adım
3. Bir sınıfın 2/5’si kızdır. Sınıfta 18 erkek öğrenci olduğuna göre sınıf mevcudu kaçtır?
Sınıfın tamamına 5 k diyelim arkadaşlar. 2/5 oranından dolayı
Kızların sayısı 2k, erkeklerin sayısı ise 5k-2k= 3k olur.
Sınıfta 18 erkek öğrenci olduğuna göre yani 3k=18 miş.
3k=18 den k = 6 olur.
Sınıf mevcuduna 5k demiştik. O halde
Toplam öğrenci sayısı 5 × 6=30 kişidir.
4. Bir top kumaşın önce 1/4'i sonra kalan kısmının 1/6’i satılıyor. 7 m kumaş kaldığına göre bir top kumaş kaç m’dir?
Kumaşın tamamına soruda verilen kesirlerin paydalarının çarpımı olan
4×6 = 24 k diyelim arkadaşlar.
Kumaşın önce 1/4 ü satılıyormuş. O halde 24kx1/4 = 6k olur.
Klan kumaş miktarı ise 24k – 6k = 18k olur.
Sonra, kalan kısmın 1/6 sı satılıyormuş. Yani 18kx1/6 = 3k miktarı satıldı.
Kalan miktar ise 18k-3k = 15k dır.
Soruda da kalan kumaş miktarı 7m olarak verilmiş.
Yani 15k=7 ise 24k kumaş kaça denk gelir onu bulmak gerek
7x24k = 15kxToplam kumaş
Toplam kumaş = 11,2 metredir.
5. 2x + 6 / 4 = 3x – a denklemini sağlayan x değeri 1 ise a kaçtır?
A) –10 B) –5 C) 1 D) 5

SORU & CEVAP
Yorumların her türlü cezai ve hukuki sorumluluğu yazan kişiye aittir. Eğitim Sistem yapılan yorumlardan sorumlu değildir.