8. Sınıf Kök-e Matematik Sayfa 80 Cevapları
Yayınlanma:
Güncelleme:
8. Sınıf Kök-e Yayıncılık Matematik Sayfa 80 Öğrendiklerimizi Uygulayalım Cevaplarını yazımızın devamından okuyabilirsiniz.
Öğrendiklerimizi Uygulayalım
Aşağıdaki işlemlerin sonuçlarını bulunuz
1. √0,09 + √1,44 / √0,64 = √9 + √144 / √64 = 3 + 12 / 8 = 15/8
2. √0,16 + √0,04 / √0,36 = √16 + √4 / √36 = 4 + 2 / 6 = 6 / 6 = 1

4. √1,5 . √24 + √0,5 . √32 = √36 + √16 = 6 + 4 = 10
5. 9√0,01 - 3√0,04 / √1,69 =

6. √0,0256 + √0,0169 / √1,96 = √256 + √169 / √19600 = 16 + 13 / 140 = 29 / 140
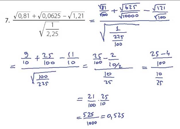
7. √0,81 + √0,0625 - √1,21 / √1/2,25 =

SORU & CEVAP
Yorumların her türlü cezai ve hukuki sorumluluğu yazan kişiye aittir. Eğitim Sistem yapılan yorumlardan sorumlu değildir.