8. Sınıf Koza Matematik Sayfa 62-63 Cevapları
Alıştırmalar
1. Yandaki tablo dikdörtgensel bölge biçimindedir. Bu tablonun boyu 15√6 cm ve eni 9√2 cm’dir. Tablonun alanını hesaplayınız.
= 15√6 x 9√2
= 120 √2 .√2 .√3
= 120 . 2 . √3
= 240 √3
2. Yandaki ABCD dörtgeni dikdörtgen, BEFG dörtgeni karedir. Verilen uzunluklardan yararlanarak boyalı bölgenin alanını hesaplayınız.
Dikdörtgen = 2√2 . 5√2 = 10. 2 = 20
Kare = 4√2 . 4√2 = 16 . 2 = 32
20 + 32 = 52
3. Yandaki paralelkenarın verilen uzunluklardan yararlanarak alanın hesaplayınız.
Taban . h --> Alan
√135 . 2√5 = 3√5 . 2√5 = 6 . 5 = 30
4. Bir mücevher kutusu küp biçiminde ve yüzey alanı 900 cm2 dir. Bu küpün
bir ayrıtının uzunluğunu a√b biçiminde bulunuz.
Küpün yüzey alanı
6. (a√b)2 = 900
(a√b)2 = 150
a√b = 5√6
5. Kare prizma biçimindeki zeytin tenekesinin yan yüzlerinin alanları toplamı 480√6 cm2dir. Bu tenekenin yüksekliği 12√3 cm olduğuna göre taban ayrıtlarından birinin uzunluğunu hesaplayınız.
480√6 / 4 = 120√6 --> 1 tane yan yüzey
120√6 / 12√3 = 10 √3 . √2 / √3 = 10√2
6. Bir bidonda 6 27 L kolonya vardı. Bidondaki kolonyanın bir kısmı her biri 2 3 L kolonya alan 6 bidona boşaltıldı. Büyük bidonda geriye kaç litre kolonya kaldığını hesaplayınız.
6√27 = 6 . 3√3 = 18√3
18√3 / 2√3 = 9 bidon
9 - 6 = 3 bidon = büyük bidon
3 . 2√3 = 6√3
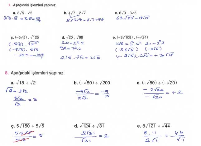
7. Aşağıdaki işlemleri yapınız.
8. Aşağıdaki işlemleri yapınız

9. Aşağıdaki işlemleri yapınız.

Not: Bu sayfadaki bazı soruların cevapları zekihaber.com sitesinden alınmıştır.
Yorumların her türlü cezai ve hukuki sorumluluğu yazan kişiye aittir. Eğitim Sistem yapılan yorumlardan sorumlu değildir.