8. Sınıf Koza Matematik Sayfa 73 Cevapları
Yayınlanma:
Güncelleme:
8. Sınıf Koza Yayın Matematik Sayfa 73 Alıştırmalar Soruları ve Cevaplarını yazımızın devamından okuyabilirsiniz.
Alıştırmalar
1. Aşağıdaki sayıların değerini bulunuz.
a. 0,09 b. 1,21 c. 0,0049
ç. 5,76 d. 0,04 e. 6,25

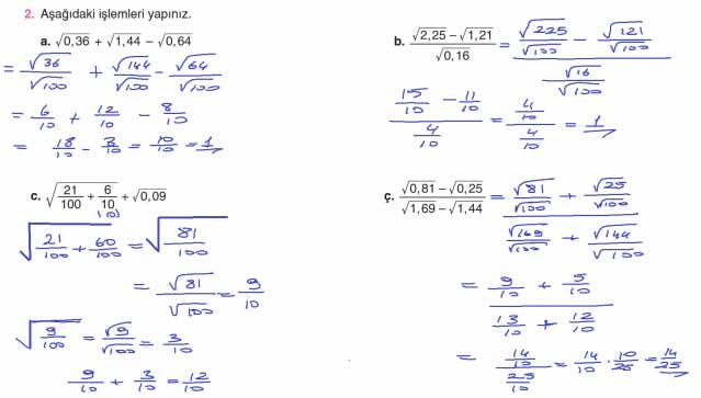
2. Aşağıdaki işlemleri yapınız.
a. √0,36 + √1,44 – √0,64
b. √2,25- √1,21 / √0,16
c. √21/100 + √8/10 + √0,09
ç. √0,81 + √0,25 / √1,69 + √1,44

Not: Bu sayfadaki zorular zekihaber.com sitesinden alınmıştır.
SORU & CEVAP
Yorumların her türlü cezai ve hukuki sorumluluğu yazan kişiye aittir. Eğitim Sistem yapılan yorumlardan sorumlu değildir.