8. Sınıf Matematik Ders Kitabı Sayfa 53-54 Cevapları Berkay Yayınları
1. Ünite Değerlendirmesi
8. Sınıf Matematik Ders Kitabı Sayfa 53 Cevapları Berkay Yayıncılık
1. Verilen sayıları, bu sayıların üslü ifadelerin çarpımı şeklinde yazılmış halleriyle eşleştiriniz.
60 --> 22 . 31 . 51
48 --> 24 . 31
56 --> 23 . 71
144 -->
160 --> 25 . 51
2. “184 sayısının asal çarpanları Δ ve □ ise, Δ+ □ toplamı ………………….. doğal sayısına eşittir.” ifadesindeki noktalı yere uygun sayıyı yazınız.
184 | 2
92 | 2
46 | 2
23 | 23
1
184 Asal çarpanları 2, 23
2 + 23 = 25
3. “8’den küçük pozitif tam sayılardan ………. tanesi 8 ile aralarında asaldır.” ifadesindeki noktalı yere uygun sayıyı yazınız.
Cevap: 3, 5, 7 8 ile aralarında asaldır.
4. Serpil Hanım, çiftliğinde beslediği köpekleri, üçerli ve dörderli gruplandırabilmektedir. Buna göre Serpil Hanım’ın çiftliğinde en az kaç köpek vardır?
3 4 | 2
3 2 | 2
3 1 | 3
1
EKOK (3,4) = 2 . 2 . 3 = 12
3 - 6 - 9 - 12 ...
4 - 8 - 12 ...
5. 21 kg ve 35 kg’lık iki farklı kalitedeki pirinç, eşit büyüklükteki torbalara; artmayacak ve birbirlerine karışmayacak şekilde doldurulmak isteniyor. Buna göre en az kaç torba kullanılabilir?
21 35 | 3
7 35 | 5
7 7 | 7
1 1
EBOB (21,35) = 7
6. Aşağıda verilen ifadelerin değerlerini bulunuz.

7. Aşağıdaki üslü ifadelerin değerlerini noktalı yerlere yazınız
a. (– 3)-² = -(1/3) . -(1/3 = 1/9
b. (– 5)-⁴= -(1/5) . -(1/5) . -(1/5) . -(1/5) = 1/625
c. (– 2)⁴ =(-2) . (-2) . (-2) . (-2) = 16
ç. (– 3)¹ = -3
d. 5-¹ = 1/5
e. (– 4)⁵ = (-4) . (-4) . (-4) . (-4) . (-4) = -1024
f. 1-⁶ = 1/1
g. (– 1)⁷ = -1
8. Sınıf Matematik Ders Kitabı Sayfa 54 Cevapları Berkay Yayıncılık
8. Aşağıdaki ondalık gösterimleri, 10’un tam sayı kuvvetlerini kullanarak çözümleyiniz
0,024 = 2 . 10-² + 4 . 10-³
2 . 1/100 + 4 . 1/1000
3,402 = 3 .10⁰ + 4 . 10-¹ + 2 . 10-³
3 . 41 + 4 . 1/10 + 2 . 1/1000
79,43 = 7 . 10¹ + 9 . 10⁰ + 4 . 10-¹ + 3 . 10-²
7 . 10 + 9 . 1 + 4 . 1/10 + 3 . 1/100
0,005 = 5 . 10-³
5 . 1/1000
9. 1/2-⁵ ifadesinin değeri kaçtır?
Cevap: B. 1/32
1/2-⁵ = 1/2 . 1/2 . 1/2 . 1/2 . 1/2 = 1/32
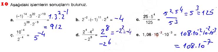
10. Aşağıdaki işlemlerin sonuçlarını bulunuz

11. Aşağıdaki işlemlerin sonuçlarını noktalı yerlere yazınız
12. 0,00000048 ve 176 000 000 sayılarını, 10’un beş farklı kuvvetini kullanarak ifade ediniz
0.000 000 48 → 48 . 10-⁸
4,8 . 10-⁷
0,48 . 10-⁶
0,048 . 10-⁵
0,0048 . 10-⁴
176 000 000 → 176 . 10⁶
176 000 . 10³
17600 . 10⁴
1760 . 10⁵
1,76 . 10⁸
13. Aşağıda verilen sayıların bilimsel gösterimlerini noktalı yerlere yazınız
a. 5618 · 10–20 = 5,618 . 10-16
b. 61,238 · 10–4 = 6,1238 . 10-3
c. 1 613 000 =1,613 . 106
ç. 400 000 = 4 . 105
d. 48 · 10–28 = 4,8 . 10-27
e. 0,0528 · 104 = 5,28 . 102
14. Aşağıda verilen bilimsel gösterimleri karşılaştırınız.
a. 5,03 · 10-⁶ ile 5,3 · 10-⁶
10’un kuvvetleri eşittir. 10-⁶ ile çarpılan sayılara bakarız.
5,03 . 10-⁶ < 5,3 . 10-⁶ olarak karşılaştırılır.
b. 9,48 · 10¹⁰ ile 1,3 · 10⁹
10’un kuvvetleri karşılaştırılır.
9 < 10 olduğundan 1,3 . 10⁹ < 9,48 . 10¹⁰ olarak karşılaştırılır.
c. 3,8 · 10-²⁰ ile 3,8 · 10-²²
10’un kuvvetleri karşılaştırılır.
-22 < -20 olduğundan 3,8 . 10-²² < 3,8 . 10²⁰ olarak karşılaştırılır.
Yorumların her türlü cezai ve hukuki sorumluluğu yazan kişiye aittir. Eğitim Sistem yapılan yorumlardan sorumlu değildir.