9. Sınıf Eksen Matematik Sayfa 122 Cevapları
Yayınlanma:
Güncelleme:
9. Sınıf Eksen Yayıncılık Matematik Sayfa 122 Alıştırmalar Cevaplarını yazımızın devamından okuyabilirsiniz.
ALIŞTIRMALAR
1- Aşağıda verilen aralıkları sayı doğrusu üzerinde gösteriniz.
a) (3, 6]
b) (-4, 3]
c) [-5, -1)
ç) [3, 4]

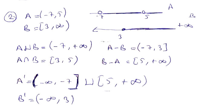
2- A = (-7, 5) ve B = [0, ∞) olmak üzere A U B, A n B, A - B, B - A, A', B' kümelerini bularak sayı doğrusu üzerinde gösteriniz.

3- A = {x |x < -3, x E R} ve B = {x |x >= 2, x E R} kümelerine karşılık gelen aralıkları sayı doğrusu üzerinde gösteriniz.

4- Aşağıdaki tabloda boş bırakılan yerleri örnekten yararlanarak doldurunuz
| Sözel İfade | Eşitsizlik ile Gösterimi | Aralık ile Gösterimi |
|---|---|---|
| Bugün hava sıcaklığı en az 15 en fazla 21 derece olacak | 15 <= x <= 21 | [15, 21] |
| Sınavda başarılı olabilmek için 100 üzerinden en az 45 almak gerekiyor | 45 <= x <= 100 | [45, 100] |
| Araç yolculuk boyunca en fazla 120 km/sa. hız yaptı | 0 <= x <= 120 | [0, 120] |
| Topraktaki suyun pH değeri 6 ile 8,5 arasında değişir | 6 <= x <= 8,5 | [6, 8,5] |
| Bebekler için ideal oda sıcaklığı 20 ile 24 derece arasındadır | 20 <= x <= 24 | [20, 24] |
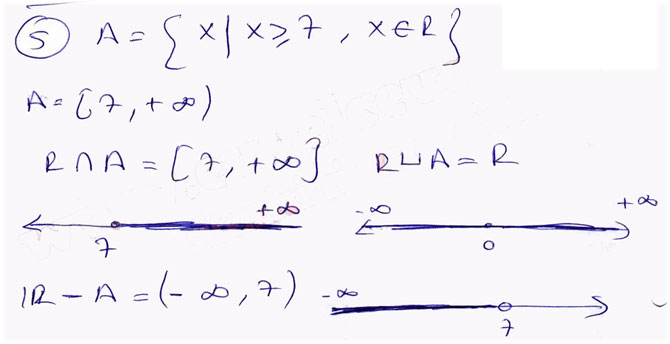
5- A = {x |x >= 7, x E R} kümesi için R n A, R U A, ve R - A kümelerini bularak sayı doğrusu üzerinde gösteriniz.

Kaynak:Eğitim Sistem
Matematik
Yorumların her türlü cezai ve hukuki sorumluluğu yazan kişiye aittir. Eğitim Sistem yapılan yorumlardan sorumlu değildir.