9. Sınıf Eksen Matematik Sayfa 147 Cevapları
ALIŞTIRMALAR
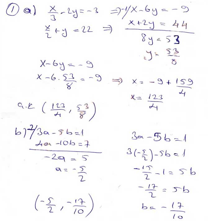
1- Aşağıda verilen denklem sistemlerinin çözüm kümelerini bulunuz
a) x / 3 - 2y = -3
x / 2 + y = 22
b) 3a - 5b = 1
4a - 10b = 7

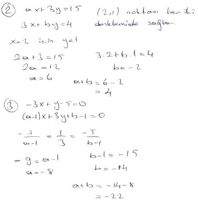
2- ax + 3y = 15 ve 3x + by = 4 denkleminin grafiklerinin kesim noktası (2, 1) olduğuna göre a + b kaçtır?

3- -3x + y - 5 = 0
(a - 1) x + 3y + b - 1 = 0
denklem sisteminin çözüm kümesi sonsuz elemanlı ise a + b kaçtır?
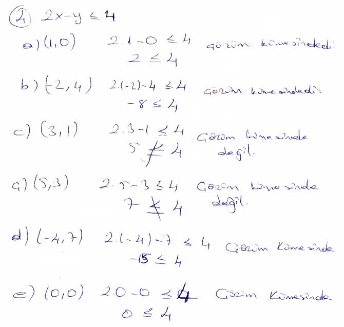
4- Aşağıdaki sıralı ikililerin 2x - y <= 4 eşitsizliğinin çzöüm kümesinde olup olmadığını bulunuz
a) (1, 0)
b) (-2, 4)
c) (3, 1)
ç) (5, 3)
d) (-4, 7)
e) (0, 0)

5- Aşağıda verilen eşitsizlik sisteminin çözüm kümelerini koordinat sisteminde gösteriniz.
a) y < 3x - 1
x >= 9 - 2y
b) x - 9 >= -3y
2x + 1 > y
c) 2x - 3y <= 5
-2x + y < 2
ç) 2/3 > x - y
2y + 10 < -2x / 3


Kaynak:Eğitim Sistem
Yorumların her türlü cezai ve hukuki sorumluluğu yazan kişiye aittir. Eğitim Sistem yapılan yorumlardan sorumlu değildir.