9. Sınıf Ödev Yayınları Matematik Sayfa 131 Cevapları
ALIŞTIRMALAR
1. Aşağıdaki ifadelerde boş bırakılan noktalı yerleri ifadeler doğru olacak şekilde tamamlayınız.
a. ax + b = 0 denklemini sağlayan x değişkeninin değerine denklemin kökü denir.
b. Bir denklemde değişkenin üssü (kuvvet) denklemin köklerinin sayısını verir.
c. İki eşitsizliğin taraf tarafa toplanabilmesi için eşitsizlik yönlerinin aynı olması gerekir.
ç. Bir eşitsizliğin her iki tarafı negatif bir sayı ile bölünürse eşitsizlik yön değiştirir.
2. Aşağıdaki ifadelerin başındaki kutucuğa ifadeler doğruysa “D”, yanlışsa “Y” yazınız.
(Y) (a – 2) x + (b – 3) y + 2 = 0 denklemi y ye bağlı birinci dereceden bir bilinmeyenli bir denklem ise b = 3 olur.
(Y) a, b ∈ R ve c < 0 olmak üzere a < b ise a · c < b · c olur.
(D) a, b ∈ R olmak üzere ax + b = 0 denklemini sağlayan x değerlerinin kümesine çözüm kümesi denir.
(D) Aynı yönlü eşitsizlikler taraf tarafa çıkarılabilir.
3. Günlük hayattan birer tane birinci dereceden bir bilinmeyenli denklem ve eşitsizlik örneği yazarak ÇK ni bulunuz.
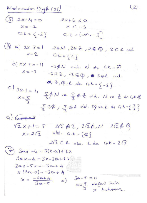
4. Aşağıdaki denklemlerin çözüm kümelerini N, Z, Q ve R nde bulunuz.
a. 3x – 5 =1 b. 2x – 5 = – 11 c. 3x – 1 = 4 ç. 2 x +1 = 5
5. 3(x + 2) + 5 (x – 2) = 8 (x + 3) – 5 denkleminin ÇK sini bulunuz.
6. 4 – a = 3 (x – a) + 4x denklemi x e bağlı birinci dereceden bir bilinmeyenli denklem olmak üzere ÇK = {– 1} ise a kaçtır?
7. 3 ax – 4 = 3 (x – a) + 2x denkleminde a nın hangi değeri için x bulunamaz?
8. Aşağıdaki eşitsizliklerin çözüm kümelerini bulunuz.
a. – x + 2 ≥ 0 b. 3x – 18 > 0 c. 3x + 2 < 2x + 3 ç. (6x + 2) / 6 > (3x -5) / 3
9. 5/2 < (x - 5) / 4 < 3 eşitsizliğinin ÇK ni bulunuz.
10. – 1 < x < 7 ve 2 < y < 6 olmak üzere 3x – 2y ifadesinin alabileceği en büyük ve en küçük tam sayı değerlerini bulunuz.
11. 2x + 14 < 5x – 10 < 3x + 22 eşitsizliğinin ÇK ni bulunuz.
12. 1/7 < 1/x < 1/2, 1/3 < 1/y < -1/6 olmak zere x + y / x . y nin değer aralığını bulunuz.


Kaynak:Eğitim Sistem
Yorumların her türlü cezai ve hukuki sorumluluğu yazan kişiye aittir. Eğitim Sistem yapılan yorumlardan sorumlu değildir.