9. Sınıf Ödev Yayınları Matematik Sayfa 173 Cevapları
Yayınlanma:
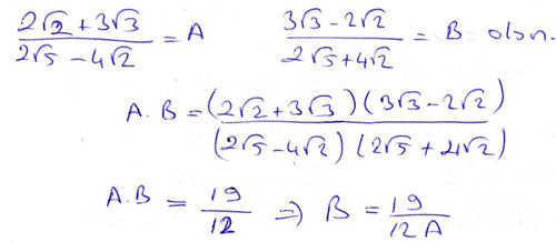
9. Sınıf Ödev Yayınları Matematik Der Kitabı Sıra Sizde Sayfa 173 Cevaplarını yazımızın devamından okuyabilirsiniz.
Sıra Sizde
2√2 + 3√3 / 2√5 - 4√2 = A ise 3√3 - 2√1 / 2√5 + 4√2 nin A türünden eşitini bulunuz.

Kaynak:Eğitim Sistem
Matematik
Yorumların her türlü cezai ve hukuki sorumluluğu yazan kişiye aittir. Eğitim Sistem yapılan yorumlardan sorumlu değildir.