9. Sınıf Ödev Yayınları Matematik Sayfa 175 Cevapları
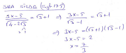
SIRA SIZDE
3x-5 / √4 - √12 = √3 + 1 denklemini sağlayan x değerini bulunuz.

ALISTIRMALAR
1. Aşağıdaki ifadelerde boş bırakılan noktalı yerleri ifadeler doğru olacak şekilde tamamlayınız.

2. Aşağıdaki denklemlerde x değerlerini bulunuz.
3. işleminin sonucu bir gerçek sayı olduğuna göre x aşağıdakilerden hangisi olamaz?
4. olduğuna göre 250 nin a ve b türünden eşiti aşağıdakilerden hangisidir?
5. denklemini sağlayan x değeri aşağıdakilerden hangisidir?

6…ifadesinin en sade şeklini bulunuz.
7..sayılarını küçükten büyüğe doğru sıralayınız.
8…işleminin sonucunu bulunuz.
9…denklemini sağlayan x değerini bulunuz.

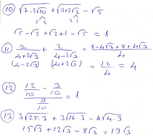
10…işleminin sonucunu bulunuz.
11…işleminin sonucunu bulunuz.
12…işleminin sonucunu bulunuz.
13…işleminin sonucunu bulunuz.

Kaynak:Eğitim Sistem
Yorumların her türlü cezai ve hukuki sorumluluğu yazan kişiye aittir. Eğitim Sistem yapılan yorumlardan sorumlu değildir.