10. Sınıf Meb Matematik Sayfa 132 Cevapları
ALIŞTIRMALAR
1. f : R " R, f(x) = 2x - 5 ve
g : R " R, g(x) = 4x ise
a) (fog) (1/4) değerini bulunuz.
b) (fof) (1/2) değerini bulunuz.
c) (gog) (1/16) değerini bulunuz.

2. f : R " R, f(x) = -3x + 2 ve ve
g : R " R, g(x) = 4 + x fonksiyonları veriliyor.
Aşağıdaki fonksiyonların eşleştirme kuralını yazınız ve grafiklerini çiziniz
a) fog
b) gof
c) fof
ç) gog


3. Gerçek sayılar kümesi üzerinde tanımlı f ve g fonksiyonları için (fog) (x) = 3x - 1 ve f(x) = 3x - 1 olarak veriliyor. Bu durumda (gogogo...og) (-1) değerini bulunuz

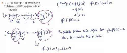
4. f : R " R, f(x) = 1 - x olmak üzere(f ofo f ofo ... o f) (1) değerini bulunuz.

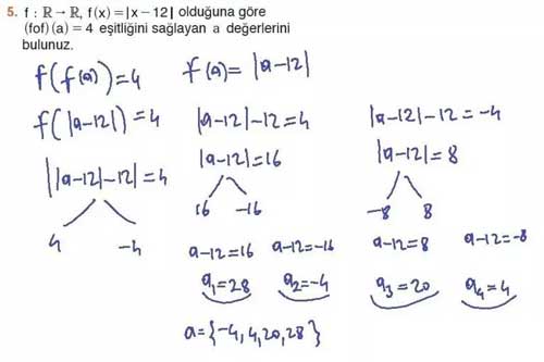
5. f : R " R, f(x) = x - 12 olduğuna göre (fof) (a) = 4 eşitliğini sağlayan a değerlerini bulunuz.

6. Yukarıdaki şekilde verilenlere göre gof fonksiyonunu liste yöntemi ile yazınız.

7. A = {1, 2, 3, 4, 5} kümesi veriliyor.
A kümesi üzerinde tanımlı yazılabilecek tüm fonksiyonlardan seçilen bir tanesinin görüntü kümesinin tek sayılardan oluşma olasılığını bulunuz.

8. f : R " R ve g : R " R olmak üzere (fog) (x) = 2 $ g2(x) - 3 . g(x) - 7 fonksiyonu veriliyor. Buna göre f(-10) değerini bulunuz.

Not: Bu sayfadaki soru çözümleri zekihaber.com sitesinden alınmıştır.
Yorumların her türlü cezai ve hukuki sorumluluğu yazan kişiye aittir. Eğitim Sistem yapılan yorumlardan sorumlu değildir.