10. Sınıf Meb Matematik Sayfa 141 Cevapları
ALIŞTIRMALAR
1. Aşağıda verilen fonksiyonların terslerinin fonksiyon olup olmadıklarını bulunuz.


2. Aşağıda verilen fonksiyonların terslerinin eşleştirme kuralını bulunuz.


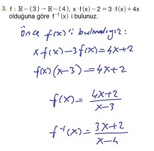
3. f : R - !3+ " R - !4+, x . f(x) - 2 = 3 . f(x) + 4x olduğuna göre f-1 (x) i bulunuz.

4. f : R " R, f(x) = 3 x + 1 - 7 fonksiyonunun tersinin eşleştirme kuralını bulunuz.

5. f : R " R, f(x) = 3x - 7 olmak üzere f(12) + f-1(29) değerini bulunuz.

6. f : " , f( x ) x 5 3 R R = 2 - 7 olmak üzere f-1(1) değerini bulunuz.

7. f : " , f(x) x b 3 1 ax 2 R - R - - = 8 + + ! + ! + fonksiyonu bire bir ve örten bir fonksiyon olduğuna göre a + b değerini bulunuz.

8. f : R " R, f(x) = x + 9 ve g : R " R, g(x) = 5x - 1olmak üzere (f-1og) (1) değerini bulunuz.

9. f : R " R ve g : R " R olmak üzere f-1(x) = 3x - 2 ve g(x) = 4x + 5 fonksiyonu veriliyor. Buna göre (fog-1)-1(3) değerini bulunuz.

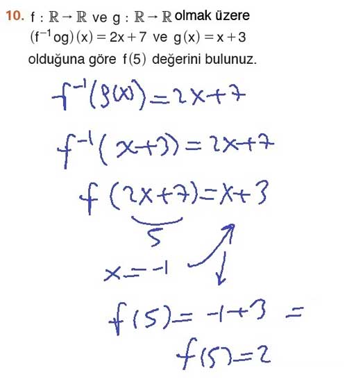
10. f : R " R ve g : R " R olmak üzere (f-1og) (x) = 2x + 7 ve g(x) = x + 3 olduğuna göre f(5) değerini bulunuz.

11. olduğuna göre f-1(2) değerini bulunuz.

12. f ve g tanımlı olduğu aralıklarda bire bir ve örten fonksiyonlardır. (fog ) (x) x olduğuna göre (fof) (2)
değerini bulunuz.

13. f ve g fonksiyonları için g-1 (2x + 6) = f(5x - 2) olduğuna göre (gof) (3) değerini bulunuz.

14. Yukarıda f (x) = 4x fonksiyonunun grafiğ verilmiştir. Buna göre f-1 (x) fonksiyonunun grafiğini çiziniz.

Not: Bu sayfadaki soru çözümleri zekihaber.com sitesinden alınmıştır.
Yorumların her türlü cezai ve hukuki sorumluluğu yazan kişiye aittir. Eğitim Sistem yapılan yorumlardan sorumlu değildir.