10. Sınıf Meb Matematik Sayfa 145-147 Cevapları
Yayınlanma:
Güncelleme:
10. Sınıf Meb Yayınları Matematik Sayfa 145, 146, 147 Ölçme ve Değerlendirme 2 Cevaplarını yazımızın devamından okuyabilirsiniz.
ÖLÇME VE DEĞERLENDİRME 2
A) Aşağıda numaralarla verilen fonksiyonlar ile harflerle verilen bu fonksiyonların terslerini eşleştirip eşleşenleri
alttaki kutulara yazınız.

B) Aşağıdaki açık uçlu soruların doğru cevaplarını bulunuz.












C) Aşağıdaki çoktan seçmeli soruların doğru seçeneğini işaretleyiniz.







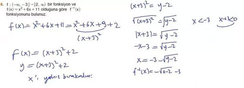
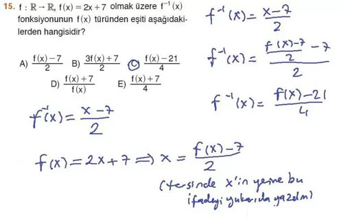
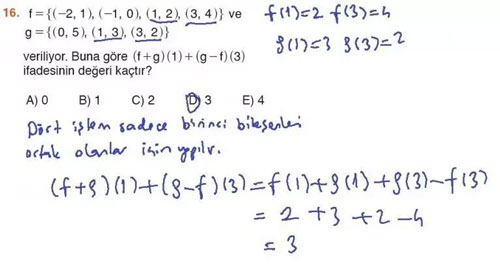
Cevap Anahtarı : 1. 1. b 2. a 3. ç 4. e 2. -8 3. -3x+2 / x-4 4. 4 5. -5/2 6. - x √¯- 2 - 3 7. 57 8. x 4 5 - + 9. Hakan 10. 45 11. A 12. D 13. C 14. A 15. C 16. D 17. E 18. E 19. B 20. A
Not: Bu sayfadaki soru çözümleri zekihaber.com sitesinden alınmıştır.
SORU & CEVAP
Yorumların her türlü cezai ve hukuki sorumluluğu yazan kişiye aittir. Eğitim Sistem yapılan yorumlardan sorumlu değildir.