10. Sınıf Meb Matematik Sayfa 183 Cevapları
Yayınlanma:
Güncelleme:
10. Sınıf Meb Yayınları Matematik Ders Kitabı Sayfa 183 Alıştırmalar Cevaplarını yazımızın devamından okuyabilirsiniz.
ALIŞTIRMALAR
1. m gerçek sayı olmak üzere (x - 5)3 . (m-7)2 -(5 - x)2 . (7 -m)3 ifadesini çarpanlarına ayırınız.

2. √85 . 115 + 225 ifadesinin değerini bulunuz.
3. 999 . 1001 çarpımını iki kare özdeşliği kullanarak yazınız.

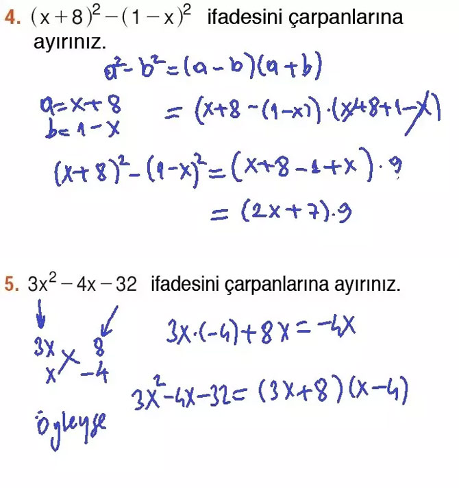
4. (x + 8)2 - (1 - x)2 ifadesini çarpanlarına ayırınız.
5. 3x2 - 4x - 32 ifadesini çarpanlarına ayırınız.

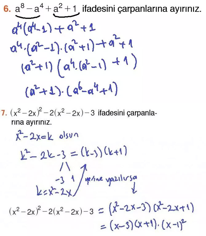
6. a8 - a4 + a2 + 1 ifadesini çarpanlarına ayırınız.
7. (x2 - 2x)2 - 2(x2 - 2x) - 3 ifadesini çarpanlarına ayırınız.

SORU & CEVAP
Yorumların her türlü cezai ve hukuki sorumluluğu yazan kişiye aittir. Eğitim Sistem yapılan yorumlardan sorumlu değildir.