7. Sınıf Meb Matematik Sayfa 65 Cevapları
Yayınlanma:
Güncelleme:
7. Sınıf Meb Yayınları Matematik Çözüm Sende Sayfa 65 Cevaplarını yazımızın devamından okuyabilirsiniz.
Çözüm Sende
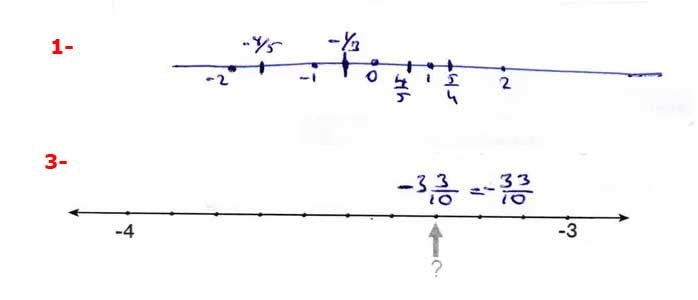
1) -1/3, 1 tam 1/4, -8/5, 4/5 rasyonel sayılarını aynı sayı doğrusunda gösteriniz

2) Aşağıdaki sayı doğrusunda 0 ile -1 arası 3, 1 ile 2 arası 4 eşit parçaya bölünmüştür. Buna göre bu sayı doğrusunda A ve B noktalarına karşılık gelen rasyonel sayıları yazınız.
A = -2/3
B = 1 tam 3/4 = 7/4
3 ) Aşağıdaki sayı doğrusu eşit aralıklarla bölündüğüne göre “ ” ile gösterilen noktaya karşılık gelen rasyonel sayıyı yazınız.
4) -3 = -☐/1 = -3/△ = ◇/-1 olduğuna göre ☐, △, ◇ sembollerinin yerine gelebilecek sayıları yazınız.
☐ = 3
△ = 1
◇ = 3
SORU & CEVAP
Yorumların her türlü cezai ve hukuki sorumluluğu yazan kişiye aittir. Eğitim Sistem yapılan yorumlardan sorumlu değildir.