8. Sınıf Meb Matematik Sayfa 149 Cevapları
UYGULAYALIM
1. Aşağıdaki denklemlerin çözümünü yaparak bulduğunuz bilinmeyenlerin değerlerini örnekteki gibi eşleştiriniz.
| Denklemler | Bilinmeyenin Değeri |
|---|---|
| a/2 − 3a/8 = 14 | 112 |
| 2x − 6 = 3x/4 | 24/5 |
| k + 1/5 = k − 3 | 4 |
| −3(b + 1)/7 = 4b/7 + 3/7 | −6/7 |
| y + 5/10 + 1/2 = y/5 + 1 | 0 |
| − 1/8 |
2. Çeyreğinin üç katı kendisinin üç eksiğine eşit olan sayıyı bulunuz.

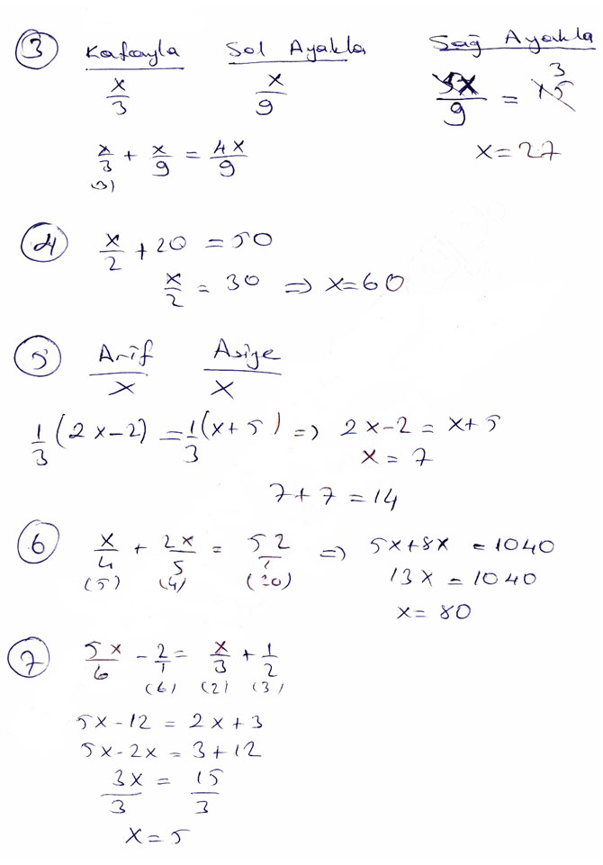
3. Cihan bir sezon boyunca ligde attığı gollerin 1/3 ’ünü kafayla, 1/9 ’unu sol ayakla,geriye kalan 15 golü de sağ ayakla atmıştır. Cihan’ın bir sezonda attığı gol sayısını bulunuz.
4. Bilyelerinin yarısının 20 eksiğini kardeşine verdiğinde 50 bilyesi kalan Arda’nın başlangıçtaki
bilye sayısını bulunuz.
5. Arif ve Asiye’nin eşit sayıda bademleri vardır. Arif’in bademlerinin 2 katının 2 eksiğinin, 1/3 katı Asiye’nin bademlerinin 5 fazlasının 1/3 katına eşittir. Buna göre Arif ve Asiye’nin bademlerinin toplamını bulunuz.
6. Sinem parasının 1/4 ’ü ile kalem 2/5 ’i ile defter satın alıyor. Toplam 52 lira harcayan Sinem’in başlangıçta kaç lirası olduğunu bulunuz.
7. 5x/6 − 2 = x/3 + 1/2 olduğuna göre x kaçtır?
A) 5 B) 6 C) 7 D) 8

Yorumların her türlü cezai ve hukuki sorumluluğu yazan kişiye aittir. Eğitim Sistem yapılan yorumlardan sorumlu değildir.